AEIS Maths. Admission to Singapore Secondary 2 Maths Test. Sample test. Part 1 of 2. 数学. 新加坡中二入学考试. 模拟考试.1/2
This is Part 1 of 2 parts test (Practice tests). Instructions to students:
Answer all questions.
Write your answers on clean sheets of A4 paper.
Workings must be clearly shown.
Marks will be deducted if there are no workings.
You cannot use an electronic calculator.
Total: 50 marks
1 Arrange the numbers below in descending order. (2 marks)

2 At noon on a typical day, the temperature at the foot of a hill was 11o Celcius and the temperature at the top of the hill was -5o Celcius. Calculate the difference in the temperature. (1 mark)
3 Estimate the following values, giving your answers correct to the nearest whole number. (a=1, b=1 mark)

4a The diagram shows 3 regular pentagons. Find the value of p and q. (2 marks)
4b Identify the number of sides the following regular polygons have if
i) each interior angle is three times each exterior angle, (2 marks)
ii) the sum of the interior angles is 2880o. (2 marks)

5 Make x the subject of the following algebraic equations.
a) 5(y + 2x) = 4y(z +2) + 3x (3 marks)
b) (-3)[x – (-y)] = (-5y)(3 – z) (2 marks)
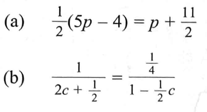
6 Solve the following equations. (a = 2 marks, b = 3 marks)

7 Factorise 6x – 4y – 6cy + 9cx completely. (3 marks)
8 Given that the parallelogram and the trapezium have the same area, form an equation involving y and h, and hence find the value of y when h = 3. (2 marks, y = 1 mark)

9 Mr Loo is entitled to tax relief of $6000. He pays a tax of 9% for the first $7000 and 12% of the remaining taxable income. Find his gross income if he pays $1050 in tax. (3 marks)
10 Mr Lim wishes to invest $30 000. He can choose Plan A which pays simple interest at 12% per annum, or he can choose Plan B which pays 11% compound interest per annum. Calculate the difference between the values under the two plans at the end of the 2 years. Which plan earns more interest? (3 marks)
11 In the diagram below, figure ABCD and figure ADEF are identical kites. Find the value of n. (3 marks)

12 In a triangle XYZ, angle YXZ is 35o . If angle XZY is a quarter of angle XYZ, find the size of angle XZY. (2 marks)
13a Find the value of X. (2 marks)

13b Find the value of x and y. (3 marks)

14 Construct a triangle with dimensions of 4.4 cm, 6.5 cm and 7.6 cm on the space provided. (4 marks)
15 The bar graph illustrates the results of a survey done by a class, showing the number of hours spent daily on the computer.
a) How many students spent 2 hours daily on the computer? (1 mark)
b) What fraction of the class spent at least 3 hours daily on the computer? (2 marks)

End of Part 1 AEIS Singapore Secondary 2 Admission Math Test.
